李苍龙博士在自旋相关的物理效应及外场调控方面取得新进展
自旋相关的物理效应及外场调控不仅具有重要的基础研究价值,而且在自旋电子器件方面展现出重要应用前景。双钙钛矿R2BB¢O6中通常存在3d与4f未配对电子,整体表现出大的总角动量量子数。研究表明,R2BB¢O6的磁结构强烈依赖于稀土离子半径,如R为La时体系展现出共线铁磁有序,R为Lu时则为¯¯反铁磁有序。因此,当R为介于La-Lu的其他稀土时,R2BB¢O6可能具有多种磁相互作用的共存与竞争,进而诱导出丰富的物理效应。
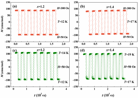
图1. (a-b) 磁场驱动的开关效应;(c-d) 热驱动的开关效应。
近日,十大电子博彩平台导航网站 李苍龙博士及合作者在Gd2Co2-xMnxO6中通过调节Co、Mn相对比例成功实现了磁序的调控,并同时观测到负磁化与逆交换偏置两种非常规磁效应,相关成果以“Negative magnetization and inverse exchange bias effect induced by modulating the relative proportion of Mn in Gd2Co2-xMnxO6 perovskites”为题发表在PHYSICAL REVIEW B (DOI: 10.1103/PhysRevB.107.214445),信阳师范大学为该论文的第一署名单位。论文研究结果表明,两种磁效应可能具有相同的物理起因,即补偿温度以下弱的铁磁矩不仅随磁场方向翻转,而且通过调节磁场量级也可发生翻转。因此,通过磁场或温度场均可实现对磁化态的可逆调控,如图1所示。另外,交换偏置效应可有效解决自旋电子器件微型化过程中所面临的超顺磁极限问题,本工作所涉及的逆交换偏置与其中的3d-4f负交换耦合相互作用以及负的起始磁化态密切相关,有关Gd2Co2-xMnxO6的磁相图如图2所示。
图2. Gd2Co2-xMnxO6的磁相图。.
以上工作得到了河南省高等学校重点科研项目计划(21A140024)、河南省自然科学基金(232300421353, 232300420121)、国家自然科学基金(12074328)以及信阳师范大学南湖学者奖励计划(青年项目)的支持。


